сабақ кестесі » Б.Момышұлы атындағы орта мектеп
Алматы облысы білім басқармасының
Еңбекшіқазақ ауданы бойынша білім бөлімінің
"Б.Момышұлы атындағы орта мектеп"
коммуналдық мемлекеттік мекемесі
Қабылдау бөлімі :
+7(72636) 5-10-38
Есепші бөлімі:
+7(72636) 5-10-17
Нашар көрушілер
нұсқасы
27
апрель
2017

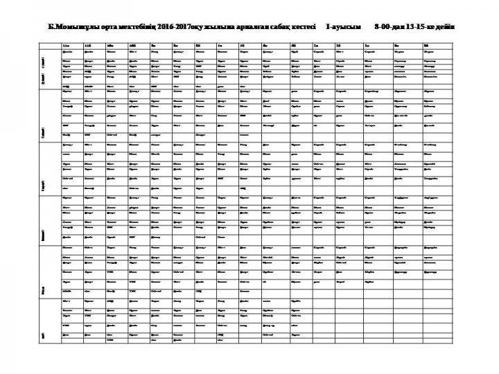
сабақ кестесі

сабақ кестесі

 

сабақ кестесі

 

Похожие публикации:

10 апрель 2017 ашық сабақ